热门

NEWS

太原各校高中录取分数线如何划定 太原市中考分数线

2026-01-14 15:25 371209

一、太原各校高中录取分数线如何划定

1、太原市各校高中录取分数线是根据所有孩子题型的难度考试的分数,每个学生报考学校的志愿来定分数线,每个学校的招生人数来划定。

2、三大校的分数每年最高,因为中考是估分报志愿 ,有些学校报的人数多,学校招生计划是有限的,分数就自然高, 报的人数少,分数肯定低!

二、山西2023年中考分数线预测

国家教育改革,中考难度减低,覆盖知识面多,2021年太原市普高分数线440分2022年465分,2023年基本在470分,如果要重点高中的话在570分有可能,几大名牌高中610分有机会。

三、2021年太原市中考科目分值

1、

2021年太原市中考各科总分是730分,其中语文满分120分,数学满分120,英语满分120分,理科综合150分,其中物理满分80分,化学满分70分,文科综合150分,其中政治满分75分,历史满分75分。体育满分50分,物理化学实验操作满分10分,信息考试满分10分。

2、

3、在太原如果想考上山大附中,省实验中学,太原五中这样的三大名校,一般录取分数在690左右,如何实现这样的目标呢?第一,体育,实验,和计算机必须得的满分,这就是70分。第二,语文不能低于110,作文几乎要满分,或者很少丢分。数学不能低于114,除了最后一道压轴题动点问题和填空题最后一道,其他的几乎都要得满分。外语不得低于114,作业必须是书写优美的衡水体,否则很难得满分。第三,物理不能低于75,化学必须要接近满分,这就要求答题一定要严谨规范。第四,政治和历史不能低于67分,这两课选择题必须要全对。满足以上四点,祝贺你,基本就可以考上三大校了。

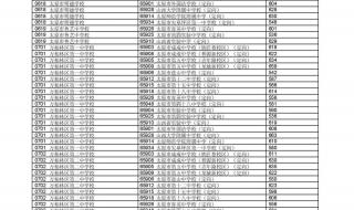
太原市中考分数线

4、

太原市中考分数线

5、

四、2022太原中考分数线算体育分吗

1、算。

2、2022年我省中考取消体育、信息技术和理化试验三门考试后,总分660分。太原市将今年普通高中最低录取控制线定为460分。其中,普通高中招生录取办法和往年相同,普通高中体育、艺术类特长生录取时,考生中考成绩和专业成绩必须达到一定分数线,才可投档。

五、2021年太原市中考录取分数线多少

2021年中考分数线是要等6月22日后中考结束了才能确定的,因为2021年太原的中考工作还没有进行,所以2021年太原中考录取分数线目前还无法确定!

猜你喜欢

扫描二维码

手机扫一扫添加微信

010-88888888 扫描微信 99999999